Introduction
Service Life Prediction Methods
Monte Carlo Simulation (MCS) method
Repair strategy for composite RC structure
Service life model for a repaired composite structure
Life cycle assessment (LCA) strategies for a repaired composite structure
Service Life Prediction
Results of the probabilistic method
Life cycle cost estimation for RC structure
Parameters for evaluation of LCC
LCC assessment law for lowest value
LCC results based on probabilistic model
Conclusions
Introduction
The corrosion problem of RC is very serious issues and it needs attention for its causes. The main causes for corrosion of RC structures are ingress of chloride or carbonate ions through pores of concrete specially sea or industrially polluted environment, respectively. In the past few decades, many researchers have studied the durability design of concrete structures in a sea or contaminated environments. There are different causes for initiation of corrosion i.e. design of structure, ingredients of composites, w/c (water/cement) ratio, thickness of concrete, porosity of concrete structure, surrounding of structures etc. which play a vital role. However, among them the most important is the structural uncertainty and ingress of chloride ions. Most of the research did not include the heterogeneous properties of materials or unstable environments. Therefore, it is difficult to measure the properties which often assumed in simplified methods for the service life of structures [1-7]. The most serious problem for demolition of concrete structures are due to ingress of chloride ions through pores. The chloride ions de-passivate the embedded steel reinforcement bars and initiate the corrosion. Chloride ions also cause pitting corrosion for a localized area of surface.
The most of researches have been done on durability design and service life prediction of concrete structure due to chloride ions which were analyzed empirically; though the properties of concrete materials might change depending on the conditions to which each structure is exposed [8-11]. There are so many models are available to predict the durability and service life of concrete structures due to ingress of chloride ions. Among them some are probabilistic, schematic and deterministic models but these models have some limitation to determine the service life which we will not discuss in details here due to beyond the present scope of study. Since the deterministic service life model has limitations, thus a systematic model in order to overcome the problems and limitations need to be established. For this reason, many scientists have focused on probability-based durability models [12-20]. Moreover, various probabilistic tools are currently applied in service life models in order to broaden their applications [21-23].
Besides, an additional problem with durability design is that the previous models can only make predictions about structures that are fully exposed to chloride, without any protection and/or cover [3,4,6,9-11]. Nevertheless, most structures exposed to a sea or saline environments are being protected by chloride-resistant material or routinely repaired through a maintenance strategy [7,24]. The repair/maintenance strategies are critical not only to existing structures, but also to new structures in order to sustain their service lives [22,25,26].
In the past, structures were demolished when their performances were degraded, since they were no longer economically beneficial. In the future and even the present, however, both economic efficiency and environmental sustainability are keen topics among the stakeholders of construction. Thus, appropriate structural maintenance to extend service life is highly encouraged by the government and society.
The structures when started to corrode in old era peoples were using conventional techniques to protect them from deterioration but with passage of time; the advancement of technologies and materials were developed. Especially for materials such as latex modified concrete, polymer modified concrete and silica fumed concrete were introduced. These above said materials are resistance to water, chloride and aggressive ions penetration [27]. Due to use of these materials the structures become more resistance to corrosion and extended the service life. Besides these, the epoxy coating, cathodic protection, re-alkalization or chloride extraction etc. can be used to extend the service life of newly constructed structures. These techniques are being used to stop the corrosion and these techniques are very expensive and normal people will not afford it. Among these methods, patching with cemen-titious material can be used and it is economical and easy to apply on any structures. Through the patching, it is possible to predict the service life easily since mechanisms of deterioration will be similar with normal RC structures. Most of the reasons for corrosion of structures are chloride ions penetration through pores of concrete and once it come in contact with steel reinforcement bars, it started to corrode. Once corrosion is initiated it cannot be stopped and it needs to protect them by using suitable protective schemes. So the chloride ions are most serious problem of corrosion of concrete structures which causes huge loss of economy of any country. Therefore, to predict the service life of structures, some engineers are also focused on Life Cycle Cost Assessment (LCCA) studies [28]. Thus, it needs some strategies which can predict exact reason and quantity of penetration of chloride ions in concrete. The penetration of chloride ions depends on depth (thickness) of concrete, w/c ratio, service envi-ronments etc.
Therefore, modeling can be used to determine or forecast the life span of any structure or column by knowing about the materials being used and condition of environments. This paper is a preliminary step in the attainment of a quantitative selection tool for sustainable and reasonable repair and maintenance strategies. Focus of this paper is prediction of repairing period based on optimized cost. Thus, in this study, we optimized the maintenance model for probabilistic durability design to utilizes the estimated LCC of maintenance through following process (Figure 1). This work is mainly considered the step 7 to 14. Other steps are beyond the scope of present study.
Service Life Prediction Methods
There are so many researches had been done on probabilistic model to predict the service life of concrete structures in chloride environment. We will discuss step by step with model which might be best fitted with our experimental results. To stop or reduce the onset of deterioration of RC, patching (one of the best method to protect the structure) is considered. To know the effectiveness, loss of economy, life cycle cost and to predict the life span of RC structures; modeling is required.
The maintenance strategies done by different researchers from all over the world, the restoration section methodology involves the patching of chloride-affected area with repair material (e.g., polymer mortar) and these have been carried out after removal of deteriorated area and extraction of chloride ion around the components. The aim of the method is to recover any lost performance. Moreover, corrosion initiation might be delayed if the repair material has chloride resistance properties that are better than those of concrete [29,30].
Monte Carlo Simulation (MCS) method
The traditional Monte Carlo Simulation (MCS), defined as “any method which solves a problem by generating suitable random numbers and observing that fraction of the numbers obeying some property or properties”. Using the assumed probability distributions of the input parameters, this method randomly selects inputs to the model and calculates the output. This process is repeated until an acceptable result is produced, generally after much laborious calculation. A potential pitfall of this method is the common assumption that all of the variables are independent. More importantly, it is not necessarily clear when sufficient interactions have been performed [13,15].
MCS is used for complex problems that cannot be solved easily using standard deterministic models. It takes into account the statistical nature of the input parameters by randomly selecting numerical values from a provided data set (simple bootstrapping) or based on a known distribution for each data set (parametric bootstrapping) [14,17]. It is important to ensure that the number of sampling iterations used in MCS is adequate to provide a small range for the corrosion initiation function. For a small number of interactions (< 20), the range of expected service life for a bridge deck, for example, is quite large; however, as the number of interactions increases, the range will narrow to an acceptable level.
Repair strategy for composite RC structure
Corrosion of reinforcement is the main reason for repairing reinforced concrete. The progressive aging of concrete structures together with their exposure to very aggressive media, such as chloride-bearing environments, have led some countries to incur repair investments of the same fiscal magnitude as that of the construction of new structures [19,31].
Several repair options are available in the market, including patching, cathodic protection, re-alkalization or chloride extraction, application of corrosion inhibitors, concrete coatings, and hydrophobic agents. The owner of the structure has to compare and benchmark the available options in order to optimize the new investment [28]. However, it is preferable to control and repair a structure within a reasonable investment range, since some of the listed methods are costly and inadequately prevent chloride attack. Because of the importance of the repair strategy, it can have the same impact as that of new construction.
This paper is a preliminary step in the attainment of a quantitative selection tool for sustainable and reasonable repair and maintenance strategies. Focus of this paper is prediction of repairing period based on optimized cost. Thus, in this study, to optimized maintenance model for probabilistic durability design utilizes to estimate the Life Cycle Cost (LCC).
Figure 2 shows the concept of a durability model of our current research for a repair material by modifying Tutti’s concrete durability model. As illustrated in this Figure, the use of an appropriate repair strategy can improve the durability of a structure.
From the above figure it can be drawn that the age of any structure can improve or extend by using repair materials. The structure which are not protected during beginning of construction, the corrosion initiation in early age and the cost might be high to protect them in later age. However, the life of deteriorated structure can be extended by using protective scheme such as patching or removal of chloride ion from affected area. After using protective scheme, the age of initiation of corrosion can be increased due to reduce rate for penetration of chloride ions from environment. On this point of view, the thickness of patching and life of structures is required to be studied.
Service life model for a repaired composite structure
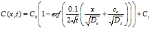
Service life prediction model for chloride affected concrete is normally expressed as C(x, t). This cementitious material’s model is divided by two different types, empirical and physical. Empirical model requires tested result in the field of chloride concentration by using Fick’s second law. This is the most worldwide and known method of service life prediction. But this equation can cover one single material.
In the case of composite material, Eq. (1) can be applied to predict chloride diffusion, as suggested by the Japan Society of Civil Engineers (JSCE 2005) [32]. Since two different materials have different diffusion coefficient, JSCE expressed them as sum of two material’s thickness by diffusion coefficient.
where C(x,t) = chloride concentration at time t and depth x
erf = error function
t = time
x = cover depth (concrete + repair composite material)
cs = repair material
Dc = diffusion coefficient of concrete
Ds = diffusion coefficient of repair material
Co = surface chloride ingress
Ci = initial chloride content
The diffusion coefficient of concrete Dc can be calculated using an empirical equation used by many researchers. Because it supplies a relatively accurate result, Dc can be determined without experiment [33]. However, there is still a lack of research about repair materials with different chloride resistance properties. Therefore, the diffusion coefficient of the repair material has to be defined clearly by experiment or otherwise, and it can be examined using a rapid chloride diffusion experiment guided by Korea Standard (KS) F 2711. There are various types and properties of repair material, and construction a credible equation to determine the diffusion coefficient without performing an experiment may be time consuming.
Life cycle assessment (LCA) strategies for a repaired composite structure
The selection of the best repair option for a particular structure should be based on technical and fiscal considerations [28]. The technical issues are related to the suitability of the repair to reduce the rate of degradation; to restore the aesthetics of the structure, and the fiscal factor is based on present and future costs. A rigorous life cycle cost analysis (LCCA) is the appropriate methodology to evaluate and benchmark the duration of service life and the economic consequences of each of the alternative possibilities of repair. The LCCA calculates the costs of all steps in a technical activity.
In the present case of the repair of a concrete structure, the LCCA first identifies the individual components of such activity and then expresses the total cost through a mathematical formula. The final step of the LCCA is the optimization of the calculated costs by comparing the available repair options. However, a rigorous LCCA is not always economical when all of the required data are not available. In addition, many of the available repair solutions are relatively new, and their expected performances and durations are unknown. This situation leads to a more or less subjective decision with regards to their selection and use.
Service Life Prediction
As mentioned previously, deterministic service life prediction is imprecise because the structural conditions are not constant. Moreover, chloride attack is more dangerous than carbonated deterioration because it causes concentrated corrosion at a certain spot. Thus, the durability design for an environment of chloride exposure should be safer than that for carbonation. The safety rate is rarely considered in a deterministic durability design model. On the other hand, a probabilistic durability design model such as MCS can control the safety rate by adjusting the corrosion initiation rate. The corrosion initiation rate is the proportion of total MCS trials that are corrosion initiation cases, and it ranges from 0 to 100 percent. This study examines the repair time of a composite structure using a probability-based service life model using Matlab to conduct the simulation process. Finally, the reliability of this study was considered at a 5,000 repetition level.
Table 1 illustrates the parameters and deviations for the durability of the repaired composite structure [33]. When a non-concrete material is used to repair the reinforced structure, the damaged concrete must be completely removed from the rebar, requiring a repair depth of at least 50 mm. As a precaution in this case, the patching method is efficient at depths of 10 mm or 20 mm. Surface chloride ingress is established at 11.0 kg/m3, the level of the splash zone, since the durability design method might be extended not only to architectural buildings but also to civil structures.
Results of the probabilistic method
Figures 3-6 and Table 2 reveal the corrosion rates when the repair material depth was variable during 100 years of service life. When the condition of the structure is as stated in Table 1 and the repairing and/or patching cover depth was zero, the corrosion initiation rate for this study tended to reach 10 % in five years (Figure 3). In the case of a 10-mm patching depth, the service life (when the corrosion initiation rate reaches 10 %) is nine years (Figure 4). If the depth is doubled (20 mm), the service life is extended to 21 years, as shown in Figure 5. Finally, if the structure is repaired with section restoration material at a depth of 50 mm, the corrosion initiation rate reaches 10 % after 38 years (Figure 6). Thick patching material can delay deterioration period, but cover depth, repair cost and worka-bi-lity should be considered.
From Table 2 and Figures 3-6, we can calculate the efficiency of different thickness of patching for 10% of initiation of corrosion. From Figure 7 it can be observed that when thickness of patching is increased, the efficiency is also increased but 50 mm thickness has 86.84% efficiency while 20 mm thickness is 76.19% efficiency. It can be con-cluded the 20 mm thickness has optimum efficiency than 10 and 50 mm patching thickness. When patching thick-ness is increased, the total cost of repairing and loads on structure also increased. Therefore, taking account of all aspects, 20 mm thickness is performing superior amongst all patching thickness.
Life cycle cost estimation for RC structure
Structures that provide better environmental performance and employ methods to reduce the environmental load of the structure in order to save energy and resources are very important. Thus, in this study, the optimal maintenance model for probabilistic durability design utilizes the estimated LCC of maintenance, such as the one performed in Figure 8 [34]. This study focuses on the construction, maintenance, and demolition costs, which comprise the whole LCC of the structure.
Parameters for evaluation of LCC
Expected repair time and total cost is shown in Table 3. The LCC valuation is based on interest, inflation and the conditions of the RC structures. The RC structures which is exposed to sea environment, the maintenance strategy of the structure is a corrosion prevention method and it can be done by 20 mm depth of patching, using a section restoration material when the structural performance degrades. At the time of this study, the allowed corrosion initiation rate was 10%, and the repair construction was conducted when the predicted corrosion initiation rate reached at a certain point. The re-deterioration constant, expected risk, and repair cost were included by Bribian et al., 2009 and Verbeeck and Hens, 2010 [35,36].
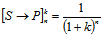
LCC assessment law for lowest value
In Eq. (2), it is mentioned about the relationship between expected cost and number of repairs. Once the number of repair is increased, the total cost would increase. Thus, the risk for deterioration will be decreased due to increase of thickness of repair materials. On the other hand, the total expected cost would be increased. It can be expressed as:
where [CREP+CRISK]min is the lowest sum of the repair+risk costs, k is the practical interest rate, t is the time at which the structure is repaired and t=b1. B=b1 is the year of the first repair construction, suffix means repair times, B is the year of the final repair construction. In numerous cases of risk-repair cost combinations, repair time is optimized when the combined cost is the lowest (Figure 9).
When the repair work is executed, we shall pay costs for repair work but the risk will be reduced. On the other hands, if we dropped the opportunities of repairing, we can save cost for repair but the risk will be raised. The risks are converted to cost then summation of risk cost and repair cost can be expressed to life cycle cost of structures.
By consideration risk cost
The risk cost can be calculated by Eq. (3) by considering the probability of demolition before repair.
where CRISK is the quantitative risk cost of demolition, Cf is the expected risk cost, and Pf is the demolition probability.
By considering re-deterioration
It is very difficult to study the durability model for a particular sectional repair area therefore; it is assumed to consider whole surface by present level of model. By using any tools, it is very difficult often impossible to remove all chloride ion from the deteriorated or freshly erected RC structures. Consequently, a discussion of re-deterio-ration is required. Once the structure is deteriorated at first time, the velocity of deterioration will be further accelerated. This short period of repair cycle shall be considered for LCC estimation. In order to evaluate the LCC, the re-deterioration constant is calculated using Eq. (4).
where Tn is the repair interval of n times, T1 is the year of the first repair, and α is the re-deterioration constant. The constant α should be determined by accumulated data for the existing structure.
Assessment with time
Since this life cycle cost estimation predicts for long term costs, escalations shall be considered. Thus, the time flow from the beginning to completion of repair can be assessed by Eq. (5).
where S is the repair cost over n years, P is the repair cost at present, and k is the rate constant,
where i is the interest rate and h is the inflation rate.
In this study, the interest rate i was 5.7 %, and inflation h was 3.1 % [34].
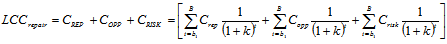
To calculate LCC of repair materials by considering repair cost, risk, re-deterioration, and time can be expressed in a single equation. LCC will be sum of the costs of repair, opportunity and risk, then escalation, re-deterioration can be expressed by Eq. (7).
Limitations
This process exhibits some limitations. The LCC process involve to consider whole restoration instead of a particular portion. Therefore, in present study, partial repair of RC structure is not considered. Thus, it is required for further study by carry out different researches considering all aspects. Although, there are some possibilities for initiation of corrosion which cannot be predicted which causes safety issues. It is reported that sometime 1.2 kg/m3 chloride ion cannot able to initiate corrosion when it concentration is reached at the end of corrosion initiation. But sometimes, corrosion can initiate even if chloride concentration is in between 0.6-0.8 kg/m3 [12]. Therefore, there are uncertainty in initiation of corrosion in presence of different amount of chloride ion. Thus, to satisfy above assumption, the probability-based service life model can be used for risk management.
LCC results based on probabilistic model
The results of LCC based on probabilistic method (initiation of corrosion) are shown in Table 4 and Figure 10. From this Figure it can be seen that if expected service life would 100 years then 20 mm patching thickness is required. At the same time, the expected cost would be 443 million Korean won for 6 times of patching. The repair cost for 10% initiation of corrosion requires 21.83 million KR Won after 21 years of installation for the very first time. At the same initiation, second repair will require after 39.9 years means it requires 18.9 years of gap compare to first year of repair and it will cost 34.82 million KR won (Figure 10 and Table 4). This result suggest that the repair interval become shorter. For the six repair, it requires higher cost which would be 147.62 million KR Won compare to first repair cost i.e. 21.83 million KR Won. The same result can be seen if 60% corrosion initiation reached, the cost will be decreased due to number of repair is less but the risk cost will increase (Table 4).
|
Figure 10. Results of expected repairing cost for 100 years with 20 mm patching thickness and total number of required repairing time. |
Table 4. Number of expected repair times and total costs at different percentage for initiation of corrosio |
|
1$ = 1,100 Won |
From Figure 11, it is predicted the initiation of corrosion risk (10-60%) and expected cost that the best result is obtained at 40% corrosion initiation with minimum cost. With different corrosion initiation (10-60%) rate, the risk cost will increase with lesser number of repair time while repairing cost gradually decreased up to 40% and become stable up to 60%.
Conclusions
This paper deals with service life prediction and estimation of LCC for repair materials i.e. patching near to coastal environment which resist the penetration of chloride ion to deteriorate the RC structure. A probability-based analysis method was introduced in order to consider uncertainties in material properties, unpredictable environments, and human errors. On the basis of obtained results for LCC, following results can be concluded:
1.It is helpful for owner, contractor, engineers to adopt the probabilistic durability model to develop repair and maintenance strategies by considering corrosion initiation and cost factor.
2.It can be useful to predict the life span and risk cost of repair materials.
3.Through Monte Carlo bootstrapping method, it is predicted the most economically effective time for repair of a deteriorated structure which determine the estimated repair, risks, and opportunity costs.
4.Through the probabilistic model, it has determined that the initiation of corrosion from 10-60% require 20 mm of patching.
5.40% initiation of corrosion is most economical and predictable than others.
6.The patching of structure is easier and economical than other protective system.
7.The corrosion initiation from 10 to 60%, the risk cost will increase with lesser number of repair time while repairing cost gradually decreased up to 40% and become stable up to 60%.
8.If corrosion initiation will reach at 40% then the total cost will be decreased.
























