Introduction
Framework of Probabilistic Design with Time-Dependent Diffusion and Surface Chloride Content
Govern Equation for Chloride Transport in Deterministic Method
MCS (Monte Carlo Simulation) for Durability Design with Time-Dependent Diffusion and Surface Chloride Content
Simulation of PDF with Different Design Parameters
Simulation Conditions
PDF Variation with Changing Design Parameters
Service Life Evaluations with Design Parameters and Design Methodologies
Critical Conditions for Service Life Determination
Trend of Service Life Variation with Design Parameters
Conclusions
Introduction
The induced chloride ion usually causes steel corrosion and it also lead to a degradation of structural performance with increasing rust around embedded steel [1]. The corrosion in the steel may enhance bonding effect temporarily due to swelling effect, however the integration between corroded steel and cover concrete is easily broken with rusts. The rust around steel has more volume by 3~5 time than normal steel [1], so that it can provide an improved bonding behavior and slip is caused over 3~5% corrosion ratio level [2,3]. For a long time, durability design has been performed for RC (Reinforced Concrete) structures exposed to chloride attack. Usually, durability design is classified into two methods; one is deterministic and the other is probabilistic. In the deterministic method, steady-state condition is assumed with constant surface chloride content and diffusion coefficient [4-6]. Fick’s 2nd Law is usually adopted and diffusion coefficient in the Law is called apparent diffusion coefficient, where all the chloride transportation is governed by apparent diffusion. Recently, a complicated dynamics system using early-aged concrete behavior such as saturation and porosity is proposed for chloride behavior. In the system, Nernst-Einstein Equation is adopted, which can handle chloride ion flux and reaction [7-9]. For calculation of total chloride content in the governing equation, an isotherm between free and bound chloride ion, ion flux with diffusion and convection, and ion consumption in the system are simultaneously considered [7,10].
Concrete is not homogeneous construction material and it has engineering uncertainties like construction level, variation of cover depth, and quality control in mixing stage. The critical chloride threshold over which steel corrosion initiates varies with internal and external conditions. Since 1990, probabilistic method for durability design has been proposed in order to consider the design parameter variation. Unlike the critical condition in deterministic method that the induced chlorides does not exceed the critical chloride threshold causing steel corrosion within the designed service life, probabilistic method employees the critical condition that the feasibility of steel corrosion (PDF) does not exceed the intended allowable maximum probability (IPDF: Intended Probability of Durability Failure) [5,6,11,12]. The probability based design induces more conservative design due to varia-tions of design parameters and much lower IPDF. The mineral admixtures like FA (Fly Ash) and GGBFS (Ground Granulated Blast Furnace Slag) are byproducts from coal combustion and steel manufacturing process, respec-tively. When they are mixed or replaced in concrete mixing, various engineering performances are improved including block of chloride penetration [9,13]. The diffusion coefficient is decreasing with cement hydration which enables more chloride ion binding and reduced pore connectivity due to pore densification. The decreasing diffusion coefficient is usually modeled through time-dependent constant [4,14,15]. The time effect on diffusion has been adopted to deterministic design method [13,14] but limitedly adopted in the probabilistic method due to the diffi-culty in calculation of changing diffusion parameter in each time step.
In the present work, the effects of mix conditions and exterior conditions on PDF are evaluated and the related service life is calculated. For this work, a framework which can handle time-dependent diffusion coefficient and surface chloride content in probabilistic method is proposed with five design parameters namely reference diffusion coefficient, cover depth, surface chloride content, critical chloride content, and time-exponent. Two different design methods are employed then the service life is obtained with and without time effect on chloride behavior. From the work, the effect of each design parameter on PDF and the related service life are quantitatively investigated.
Framework of Probabilistic Design with Time-Dependent Diffusion and Surface Chloride Content
Govern Equation for Chloride Transport in Deterministic Method
In this paper, Fick’s 2nd Law is utilized for chloride penetration which is expressed in Eq. (1).
(1)
Where C is surface chloride content (kg/m3), x(m) and t(sec) are distance from concrete surface and exposed time. D(t) is time-dependent diffusion coefficient with reference time (tref : 28 days), reference diffusion coefficient (Dref), and time-exponent of m as listed in Eq. (2) [13,14].
(2)
MCS (Monte Carlo Simulation) for Durability Design with Time-Dependent Diffusion and Surface Chloride Content
Time Effect on Diffusion
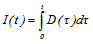
In the probabilistic method, the governing equation in Eq. (1) is still adopted but other critical conditions are required. When time is firstly determined and MCS is performed in a given time and cover depth, Eq. (1) can be written as Eq. (4) with a parameter I(t) in Eq. (3).
,
(3)
(4)
In the constant surface chloride content of Cs, Eq. (4) can be written as Eq. (5) using error functions (erf).
(5)
Where C(x,t) is chloride content at the location of x in a given time t. The equivalent diffusion coefficient to the time can be defined as Eq. (6a) and Eq. (6b) [15].
,
(6a)
,
(6b)
Where tR is usually assumed as 30 years, after which chloride diffusion coefficient is assumed as constant [4,11].
In every time step, PDF is calculated and it should be lower than IPDF for the intended service life as Eq. (7).
(7)
Where Cσ(µ,σ) is random variable of critical chloride content and Pmax is IPDF which is allowable maximum probability within the intended service life. In several Codes and Specifications, it is proposed to 7.0~10.0% for chloride attack [16-18].
Time Dependent Surface Chloride Content
In Fick’s 2nd Law, a constant diffusion condition is required for diffusion coefficient and surface chloride content. However, surface chloride content varies with exposed time. Surface chloride content is reported to increase to 10~15 years and it keeps constant. In the concrete with mineral admixture like GGBFS, higher surface chloride content is reported since it has more bound chloride content than concrete with OPC [19,20]. In the study, the built-up period is determined as 10 years, PDF and the related service life are simulated. The time-dependent surface chloride content is shown in Figure 1 with field investigation results [19]. The comparison of deterministic and probabilistic method is summarized in Table 1 and the concept of probability design is shown in Figure 2. The flowchart for calculation of PDF considering time-dependent diffusion and surface chloride content is shown in Figure 3.
Simulation of PDF with Different Design Parameters
Simulation Conditions
The PDF and the related service life vary with design parameters. The parameters in Eq. (7) are considered in the simulation with 3 grades as shown in in Table 2. The probability distributions and the related COV (Coefficient of Variation) are adopted from previous researches [9, 21]. The effects of design parameters on service life are dealt with in Chapter 4.
PDF Variation with Changing Design Parameters
Reference Diffusion Coefficient
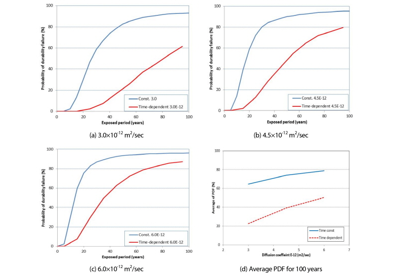
Diffusion coefficient at a reference time is directly related with concrete mix proportions. The reference diffusion coefficient can be reduced with lower w/c (water to cement) ratio and mineral admixtures with high Braine [4,22]. In order to evaluate PDF with varying design parameters, reference conditions are determined as the 1st value in each grade in Table 2 in bold style.
The variations in PDF with reference diffusion coefficient and average PDF for 100 years are shown in Figure 4. Time dependent diffusion behavior is usually adopted in only deterministic design method and a big different result of service life between deterministic and probabilistic method has been reported [11,12]. It can be reduced by adop-ting time-dependent diffusion coefficient in probabilistic design method as well. With increasing diffusion coeffi-cient from 3.0 to 6.0×10-12 m2/sec, average PDF for 100 years rapidly increase from 64.6% to 78.9% for constant diffusion and 22.6% to 50.5% for time-dependent diffusion, respectively. The increasing ratio seems to be great in time dependent condition but it is only 35.0~64.0% level of the results in time constant condition.
Critical Chloride Content
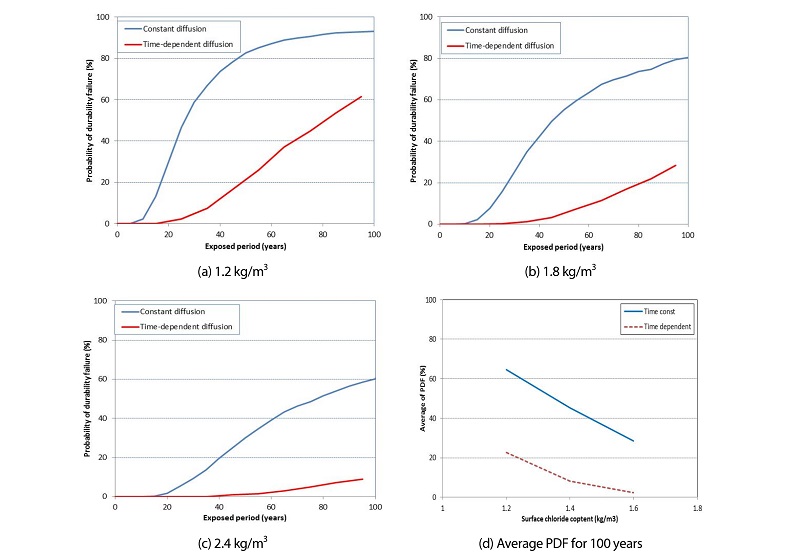
Critical chloride content means the threshold over which corrosion in steel initiates. Many researches on critical condition have been performed and they have a different range with mix proportions and exposure conditions [13, 23]. Several Concrete Specifications adopt 1.2 kg/m3 as critical chloride content in hardened concretes [16, 18, 20]. The variations of PDF with increasing from 1.2 to 3.6 kg/m3 are shown in Figure 5(a)-(c) and average PDF for 100 years are shown in Figure 5(d).
As shown in Figure 5, PDF decreases with increasing critical chloride content since the period when the induced chlorides exceeds critical chloride content in a given condition is significantly extended. With increasing chloride content from 1.2 kg/m3 to 2.4 kg/m3, average PDF for 100 years as shown in Figure 5(d) is reduced from 64.6% to 28.4% for constant diffusion and 22.6% to 2.41% for time-dependent diffusion, respectively. The corrosion inhibitor or anti-corrosive steel which can increase critical content can also reduce PDF and increase service life.
Time Exponent
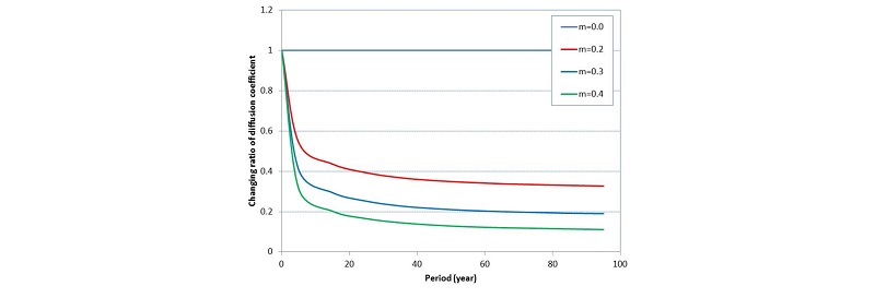
Concrete with mineral admixture such as FA and GGBFS has an excellent resistance to chloride penetration and it is usually modeled using time-exponent (m) as in Equation 6a and Equation 6b. In the previous research, time-exponent over 0.2 can be achieved through replacement of OPC with FA or GGBFS [4,24]. In the simulation, time exponent is magnified from 0.2 to 0.4 and the varying PDF is evaluated. The decreasing diffusion coefficient with time exponent is plotted in Figure 6 and the variation of PDF is shown in Figure 7.
With increasing time exponent, average PDF for 100 years rapidly decreases, which implies that reduction of diffusion coefficient through mineral admixtures is very effective for extension of service life. With increasing m from 0.2 to 0.4, average PDF is significantly reduced from 64.6% to 0.7%.
Cover Depth
Concrete cover depth is the first primary defense barrier from deteriorating agent [1,13,25]. Increasing cover depth from 80 mm to 160 mm, PDF considering time effect on diffusion condition is noticeably reduced as shown in Figure 8. The average PDF is rapidly decreasing from 64.6% to 16.7% in constant diffusion and 22.6 to 0.1% in time dependent diffusion, which also shows cover depth is decisive parameter for durability design and the most effective measure for existing deteriorated RC structures.
Surface Chloride Content
From the previous researches [4, 19], surface chloride content is reported to increase with time and keep almost constant. From 10 to 30 years, surface chloride content is usually saturated however the maximum value varies with exposure conditions and mix proportions. Concrete with mineral admixtures like GGBFS shows higher surface chloride content than that with OPC, which is caused by more binding capacity in GGBFS-based concrete [20,26]. The variation of PDF with changing surface chloride content is shown in Figure 9. The average PDF for 100 years increases from 64.6 to 84.1% for time constant and 22.7 to 57.1% for time dependent condition. The increasing surface chloride affects an initial saturation of chloride and causes rapid inducing of chloride.
Service Life Evaluations with Design Parameters and Design Methodologies
Critical Conditions for Service Life Determination
In this section, service life is evaluated through deterministic and probabilistic method. For deterministic me-thod, Life365 program is adopted and calculation framework using MCS (Monte Carlo Simulation) in Figure 2 is adopted for probabilistic method. For the two methods, two cases (with and without time effect on surface and diffusion) are considered like the analysis performed in Chapter 3. The reference design parameters in Table 2 are adopted and service life results from two methods are calculated. For the critical conditions of deterministic and probabilistic method, 1.2 kg/m3 of chloride threshold and 10.0% of IPDF are assumed, which are proposed in several Speci-fica-tions [11,16,18].
Trend of Service Life Variation with Design Parameters
The deterministic method with time effect shows the most extended service life but probabilistic method with time constant diffusion condition shows the least since the probabilistic method needs the IPDF which is assumed to be 10.0% that seems to be too conservative. The variations of design parameters also cause the conservative results of service life. A big difference of the calculated service life between the two methods has been reported [11] but it can be reasonably reduced by adopting time-dependent diffusion and surface chloride content to probabilistic method. The changes in service life with the design parameters and the different methods are shown in Figure 10.
In order to evaluate the effects of the design parameters on service life, the normalized design parameters are compared with changing gradient of service life. The obtained gradient from regression analysis can quantitatively explain the effect of design parameter on service life from each design methodology. The normalized design parameters and changing ratio of service life are plotted in Figure 11, and the gradients from linear regression analysis are compared in Figure 12.
As shown in Figure 12, cover depth and time exponent are the major effective parameters for extending service life. The gradients of reference diffusion coefficient have a level of 0.405~0.594, which is similar level of surface chloride content (0.276~0.318). The gradients of changing cover depth and time exponent are 2.38~5.28 and 1.95~ 4.08, respectively. Increment in critical content has also considerable effect on extension of service life, which shows 1.147~1.797. The probabilistic method with time dependent diffusion is evaluated to be the most sensitive to changing service life since the probabilistic method without time effect on diffusion yields the shortest service life and it is significantly extended through time effect on diffusion.
Conclusions
In the present work, service life is evaluated from two different design methods with five design parameters and time effect on chloride behaviors. The conclusions from the work are as follows.
1.The deterministic method based on Fick’s 2nd Law with time effect on chloride behavior shows the longest extension of service life and the probabilistic method without time effect shows the least. The probabilistic design induces conservative results due to low IPDF and variation of design parameters. The difference of results from the two methods can be reduced with time effect on diffusion coefficient in the probabilistic method.
2.In the reference conditions, the evaluated service life shows 29.6~80.3 years for deterministic method and 14.5~40 years for probabilistic method, respectively. When reference diffusion coefficient increases from 3.0×10-12 m2/sec to 6.0×10-12 m2, service life decreases to 51.3~62.8 years for deterministic method and 7.8~18.7 years for probabilistic method. In the results of critical chloride content, it increases to 72.7~217.9 years and 31.8~118.3 years when critical chloride content increases to 2.4 kg/m3.
3.The time effect on diffusion and increasing cover depth are evaluated to be the most influencing parameters to service life extension. When time constant (m) increases to 3 times, service life increases to 246.4 years (deterministic method) and 227.6 years (probabilistic method). When cover depth increases from 80 mm to 160 mm, it increases to 102.8~313.9 years and 52.2~280 years, respectively. Increasing surface chloride content from 5.0 kg/m3 to 15.0 kg/m3 reduces the service life to 14.4~37 years for deterministic method and 6.7~16.8 years for probabilistic method, respectively.
















